学报动态

当前位置: 首页 -> 科学研究 -> 学报动态 -> 正文

西班牙Tecnología del Carbono科学研究所Clara Blanco: 亚硫酸氢钠在全铁氧化还原液流电池高性能电解液开发中的关键作用

发布日期:2025-07-15 信息来源: 作者: 编辑:


 

摘要

  氧化还原液流电池(RFBs)是大规模储能领域极具前景的电化学系统。尽管钒基液流电池技术最为成熟,但钒被列为关键原材料,开发新型化学体系以解决其固有缺陷至关重要。全铁氧化还原液流电池(A-IRFB)因铁元素储量丰富、分布广泛而备受关注,但其负极半电池受限于Fe²/Fe电对的缓慢沉积/溶解过程,导致能量效率和长期性能不佳。

本研究表明,在含0.5 M FeCl3 M NaCl和10 mM柠檬酸(HCit)的电解液中添加低浓度NaHSO10 mM)作为新型添加剂,可显著改善负极电化学行为。该添加剂通过三重机制发挥作用:作为还原剂降低电解液溶氧量;通过形成FeHSO₃⁺络合物促进Fe沉积动力学;抑制析氢副反应。这一关键添加剂的应用为开发高性能A-IRFB开辟了新路径,有望加速其商业化进程。

 

文章简介

 

1a和b展示了使用所述基础电解液配方作为正负极电解液时,经热处理石墨毡上记录的循环伏安曲线,结果显示两个半电池所涉及的法拉第过程发展存在显著差异。如图所示,正极测得电流(498mA)远高于负极(148mA),这证实了与溶液中快速的Fe2+/Fe3+法拉第反应相比,电极表面的电镀/剥离过程更为迟缓。然而,当在基础电解液中添加少量NaHSO3(浓度10mM)后,负极半电池的电化学性能出现显著提升:不仅出现了一对发育良好的阴极/阳极峰(电流强度分别提升至239mA和310mA,增幅近一倍),且经鉴定金属铁的电镀/剥离已成为主要法拉第过程,使析氢反应退居次要地位。此外,计算显示库仑效率出现小幅但关键性提升,添加该添加剂后达到91.3%(参见支撑材料S1表1实验12和15)。阻抗谱测试进一步证实,含添加剂负极在高频区呈现的 semicircle直径减小,表明Fe0电镀过程的电荷转移电阻降低,这与半电池性能提升的观测结果一致。

NaHSO3的添加初衷是维持电解液稳定性以避免Fe(OH)3沉淀——这是制备酸性铁液流电池(A-IRFB)电解液需解决的核心问题。即便采用高纯FeCl2为原料且溶液中不含Fe3+,电解液接触空气后会迅速将Fe2+氧化为Fe3+。研究者因此设想,相较于技术复杂且成本高昂的传统氮气 purge,在溶液中构建还原性环境或可作为替代方案防止氧化。这一思路借鉴了亚硫酸盐在食品葡萄酒工业[21]中作为抗氧化剂和防腐剂,或在锅炉中作为除氧剂[22]防腐蚀的应用经验。实验证明,该化合物在A-IRFB铁基电解液中同样展现出特殊功效。据我们所知,这是NaHSO3首次被用作液流电池电解液的关键添加剂。

除溶液除氧可能带来的整体性能提升外,理解微量NaHSO3如何显著改善电镀/剥离过程更具关键意义。尽管该机制已超出本研究范围,但这种对限制性半电池反应的提升可能对未来储能市场产生颠覆性影响——通过设计新型电解液体系,有望实现更高电流密度和功率密度的A-IRFB系统。

 

 

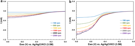
研究结果显示,在未添加NaHSO的基础电解液中(图4a),即使在高转速条件下,电极表面也仅检测到微弱的阴极极限电流(ILC),这证实了Fe金属的沉积/溶解过程存在严重动力学障碍。然而,添加NaHSO后(图4b),电化学性能得到显著改善:当转速达到1000 rpm时,ILC值提升至-0.73 mA,表明金属铁沉积速度明显加快。需要指出的是,由于铁沉积/溶解过程不仅涉及电荷转移,还包括成核/生长步骤以及析氢副反应(HER)[29],因此无法通过Koutecky-Levich方程计算动力学常数(K)和对称因子(α)等关键电化学参数。

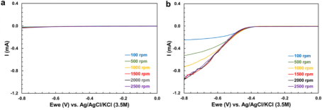
5进一步对比了基础电解液(0.5 M FeCl3.0 M NaCl和10 mM HCit)与添加10 mM NaHSO后的线性扫描伏安(LSV)曲线。结果表明,单纯提高Fe²浓度确实能促进沉积过程(对比图4a与5a),这与方程式(2)描述的反应机理一致。但值得注意的是,添加亚硫酸氢盐后,10 mM与0.5 M FeCl溶液的LSV曲线几乎无差异(对比图4b与5b),仅观察到微弱的电流增加。这一现象说明,HSO₃⁻浓度才是反应速率的主导控制因素,即使在高Fe²浓度条件下也是如此。该结果强有力地证实了方程式(8)描述的FeHSO₃⁺络合催化机制是铁沉积的主要路径,而方程式(2)的贡献仅为次要作用。

尽管仍需通过实际电池测试来进一步验证NaHSOA-IRFB铁基电解液中的具体作用机制,但本研究已明确证实:即使添加微量NaHSO,也能显著改善金属铁的沉积/溶解动力学,同时有效抑制析氢副反应。这一发现为开发高性能全铁液流电池电解液提供了重要理论依据和技术路径。未来研究可在此基础上,进一步优化添加剂配比并探索其在实际流动体系中的表现。

 

结论

 针对全铁氧化还原液流电池(A-IRFB)的正负极电解液,本研究开发了一种新颖且独特的配方体系。该配方通过多组分协同作用,显著提升了电解液的关键性能参数,包括离子电导率、溶液稳定性和电化学性能。研究采用pH=2.0的酸性环境,并添加3.0 M NaCl以实现最佳离子传导。最具突破性的发现是:微量柠檬酸可有效维持溶液稳定性,而基础电解液中加入10 mM NaHSO添加剂则大幅改善了Fe的沉积/溶解动力学。

机理研究表明,NaHSO通过形成FeHSO₃⁺中间络合物,作为金属铁沉积的高效催化剂。该络合物在反应过程中释放出的HSO₃⁻能持续络合Fe²离子,形成自循环催化体系,这解释了为何微量添加剂即可显著提升电化学反应效率。同时,该添加剂还通过抑制析氢副反应进一步优化了负极性能。

这种优化电解液配方为开发高性能A-IRFB提供了新思路,但其在实际流动条件下的表现仍需进一步验证。未来研究或可探索其他辅助添加剂,以在动态工况下进一步提升电解液的稳定性与反应活性,推动全铁液流电池的商业化应用进程。

论文信息

NaHSO3 as a Key Component in DevelopingEnhanced Performance Electrolytes for All‐Iron RedoxFlow Batteries

Alejandro Concheso | Daniel Barreda | Zoraida González | Patricia Álvarez | Rosa Menéndez | Clara Blanco |Victoria G. Rocha | Ricardo Santamaría